NoteBro.com
Course Notes & Past Exams

Algonquin College

BSC2200 Building System

BSC2200 Building System

Postby bfallatah » Sat Apr 07, 2018 5:51 pm

THE NOTES & STUDY MATERIAL IN THIS POST ARE LOCKED FOR NEW USERS UNTIL YOU MAKE YOUR FIRST POST
Notebro works because our users upload content before getting full access to other student's posts.
The platform is designed so new users are unable to view content until they make a contribution to the community.
You must register or login (Top of page) and contribute at least one useful post (Post Notes button on your schools page).
Try to post quality notes from any class you have good study material for.
Fake, junk, or blank files do not get approved.


Attachments
A1 - 5.jpeg
Answer
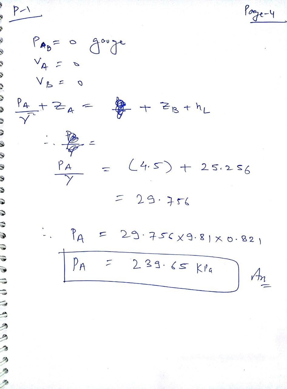
A1 - 4.jpeg
Answer
A1 - 3.jpeg
Answer
A1 - 2.jpeg
Answer
A1.jpeg
Answers
Screen Shot 2018-04-07 at 5.31.57 PM.png
Queation
bfallatah
 
Posts: 5
Joined: Thu Jan 19, 2017 8:29 pm

Return to Algonquin College