NoteBro.com
Course Notes & Past Exams

Carleton University

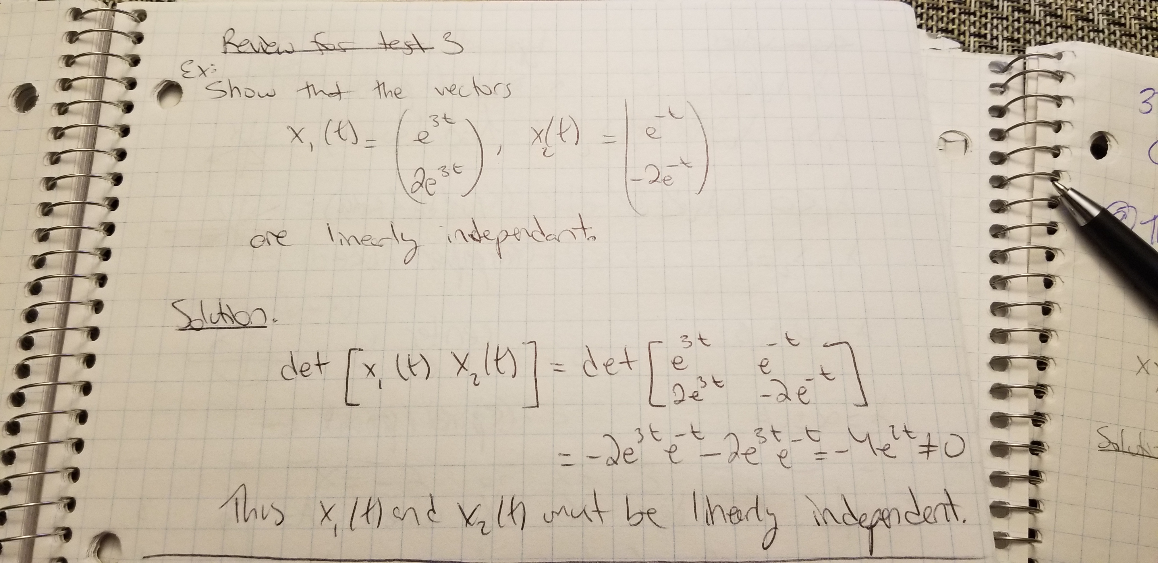
Math 2404A Review for test 3

Math 2404A Review for test 3

Postby alexda15 » Thu Sep 27, 2018 9:08 pm

THE NOTES & STUDY MATERIAL IN THIS POST ARE LOCKED FOR NEW USERS UNTIL YOU MAKE YOUR FIRST POST
Notebro works because our users upload content before getting full access to other student's posts.
The platform is designed so new users are unable to view content until they make a contribution to the community.
You must register or login (Top of page) and contribute at least one useful post (Post Notes button on your schools page).
Try to post quality notes from any class you have good study material for.
Fake, junk, or blank files do not get approved.


Attachments
20180927_205828.jpg
20180927_205820.jpg
20180927_205812.jpg
20180927_205801.jpg
20180927_205752.jpg
20180927_205735.jpg
20180927_205658.jpg
alexda15
 
Posts: 2
Joined: Thu Sep 27, 2018 8:48 pm

Return to Carleton University