NoteBro.com
Course Notes & Past Exams

Carleton University

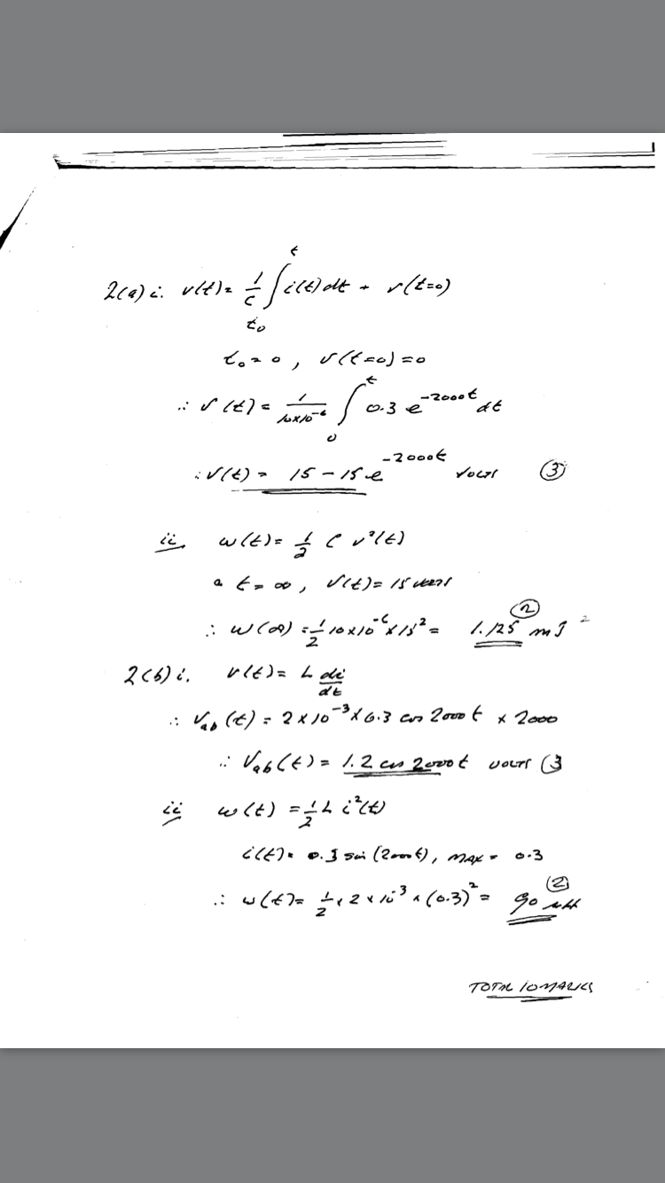
ELEC 3605 test 2 solutions

ELEC 3605 test 2 solutions

Postby meganheadrick2 » Mon Oct 17, 2016 6:02 pm

THE NOTES & STUDY MATERIAL IN THIS POST ARE LOCKED FOR NEW USERS UNTIL YOU MAKE YOUR FIRST POST
Notebro works because our users upload content before getting full access to other student's posts.
The platform is designed so new users are unable to view content until they make a contribution to the community.
You must register or login (Top of page) and contribute at least one useful post (Post Notes button on your schools page).
Try to post quality notes from any class you have good study material for.
Fake, junk, or blank files do not get approved.


There are files attached to this post but you cannot access them until you upload at least 1 attachment. Fake, junk, or blank files get you banned.
meganheadrick2
 
Posts: 3
Joined: Mon Oct 17, 2016 2:05 pm

Return to Carleton University