NoteBro.com
Course Notes & Past Exams

Carleton University

Math 1004 vinal exam 3013

Math 1004 vinal exam 3013

Postby Mohamadazzam » Tue Jan 14, 2014 10:35 pm

THE NOTES & STUDY MATERIAL IN THIS POST ARE LOCKED FOR NEW USERS UNTIL YOU MAKE YOUR FIRST POST
Notebro works because our users upload content before getting full access to other student's posts.
The platform is designed so new users are unable to view content until they make a contribution to the community.
You must register or login (Top of page) and contribute at least one useful post (Post Notes button on your schools page).
Try to post quality notes from any class you have good study material for.
Fake, junk, or blank files do not get approved.


Attachments
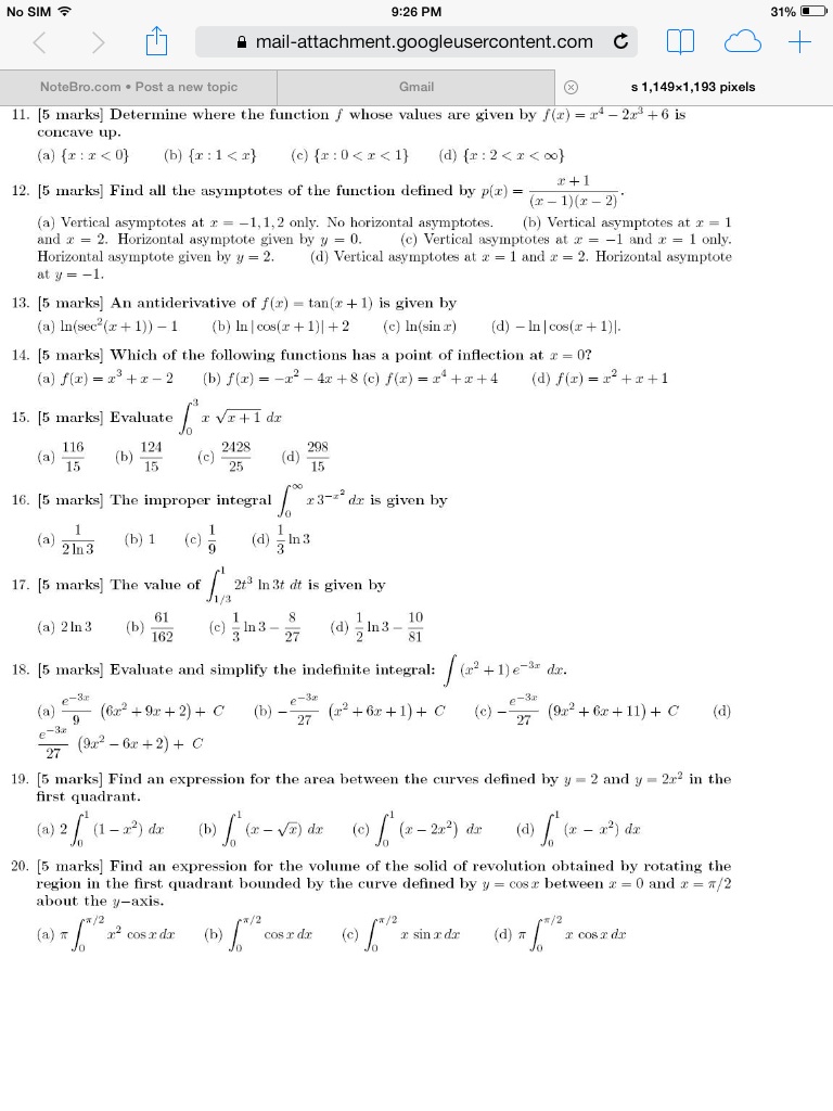
image.jpg
Page 1
image.jpg
Page 2
image.jpg
Page 3
Mohamadazzam
 
Posts: 1
Joined: Tue Jan 14, 2014 10:17 pm

Return to Carleton University