NoteBro.com
Course Notes & Past Exams

Concordia University

MATH 209 previous final

MATH 209 previous final

Postby fderjani » Tue Nov 20, 2012 4:12 pm

THE NOTES & STUDY MATERIAL IN THIS POST ARE LOCKED FOR NEW USERS UNTIL YOU MAKE YOUR FIRST POST
Notebro works because our users upload content before getting full access to other student's posts.
The platform is designed so new users are unable to view content until they make a contribution to the community.
You must register or login (Top of page) and contribute at least one useful post (Post Notes button on your schools page).
Try to post quality notes from any class you have good study material for.
Fake, junk, or blank files do not get approved.


Attachments
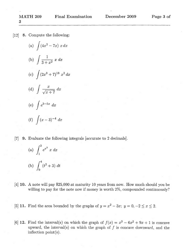
p3.png
Page 3
p2.png
Page 2
p1.png
Page 1
fderjani
 
Posts: 1
Joined: Tue Nov 20, 2012 4:06 pm

Re: MATH 209 previous final

Postby d3ay » Sun Apr 14, 2013 10:12 pm

THE NOTES & STUDY MATERIAL IN THIS POST ARE LOCKED FOR NEW USERS UNTIL YOU MAKE YOUR FIRST POST
Notebro works because our users upload content before getting full access to other student's posts.
The platform is designed so new users are unable to view content until they make a contribution to the community.
You must register or login (Top of page) and contribute at least one useful post (Post Notes button on your schools page).
Try to post quality notes from any class you have good study material for.
Fake, junk, or blank files do not get approved.

Attachments
MATH 208 dec 2011 Exam answers1.docx
math 208 dec 2011 final
(2.83 MiB)
d3ay
 
Posts: 1
Joined: Sun Apr 14, 2013 9:46 pm


Return to Concordia University



cron