NoteBro.com
Course Notes & Past Exams

Concordia University

ENGR 311 Final, Fall 2011

ENGR 311 Final, Fall 2011

Postby Ebacho » Wed Jun 15, 2016 11:31 pm

THE NOTES & STUDY MATERIAL IN THIS POST ARE LOCKED FOR NEW USERS UNTIL YOU MAKE YOUR FIRST POST
Notebro works because our users upload content before getting full access to other student's posts.
The platform is designed so new users are unable to view content until they make a contribution to the community.
You must register or login (Top of page) and contribute at least one useful post (Post Notes button on your schools page).
Try to post quality notes from any class you have good study material for.
Fake, junk, or blank files do not get approved.


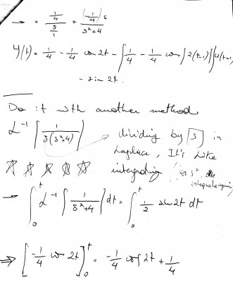
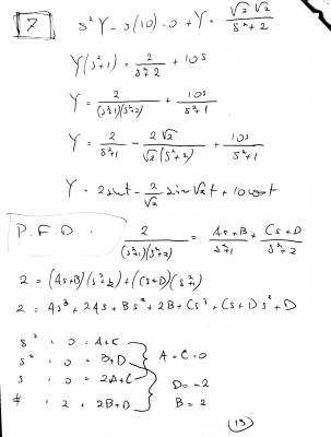
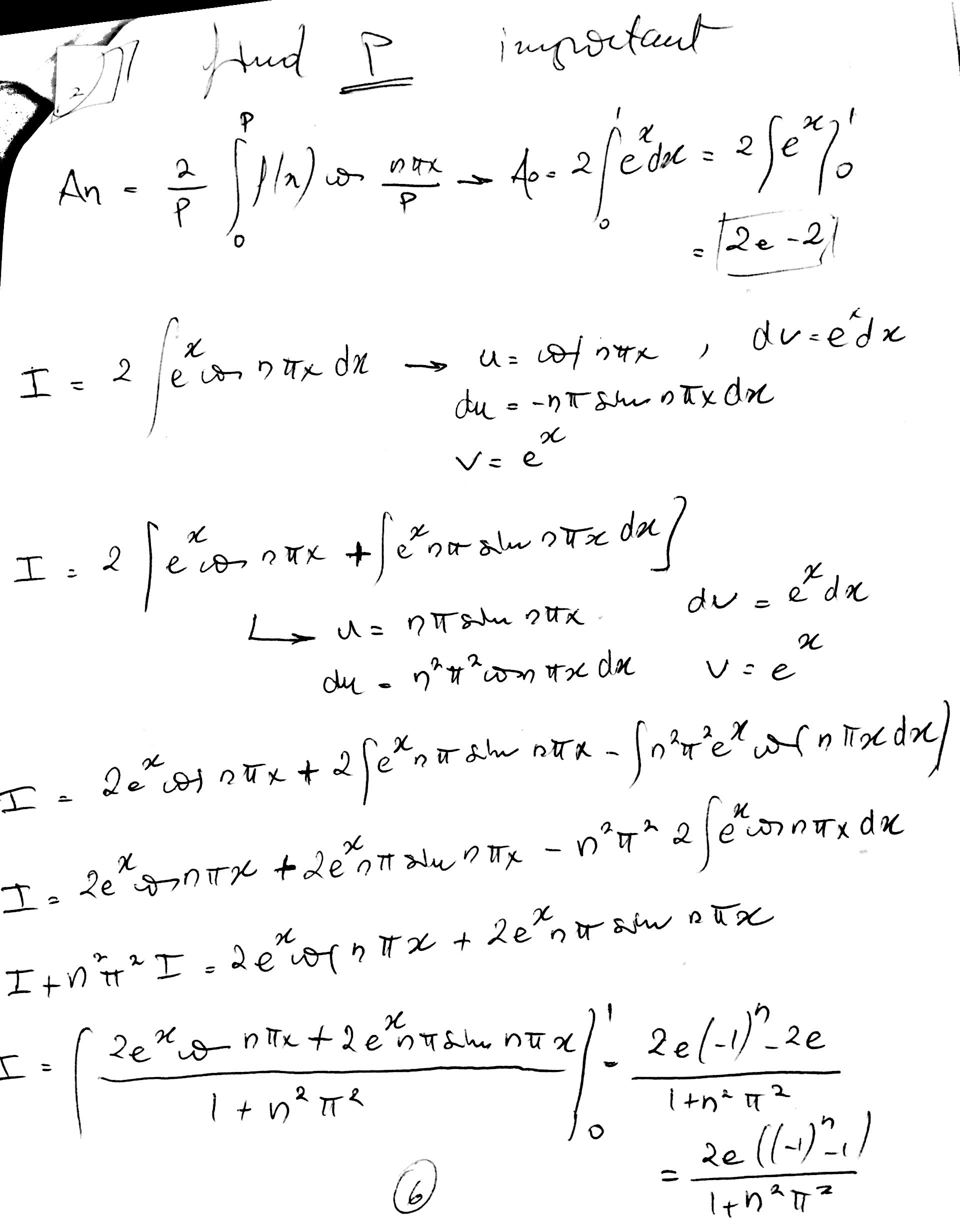
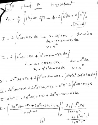
Attachments
image.jpeg
image.jpeg
image.jpeg
image.jpeg
image.jpeg
image.jpeg
image.jpeg
image.jpeg
image.jpeg
image.jpeg
image.jpeg
image.jpeg
image.jpeg
Ebacho
 
Posts: 1
Joined: Wed Jun 15, 2016 11:05 pm

Return to Concordia University



cron