NoteBro.com
Course Notes & Past Exams

Concordia University

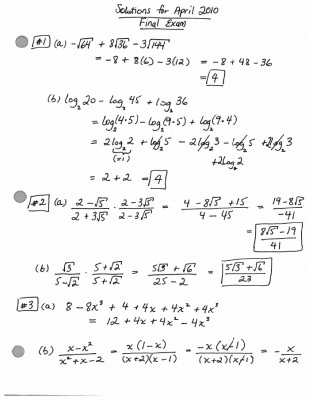
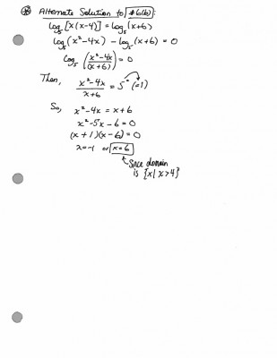
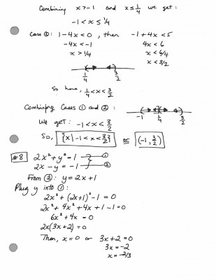
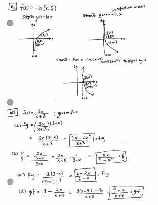
MATH 206 WINTER 2010 and SOLUTIONS

MATH 206 WINTER 2010 and SOLUTIONS

Postby Habs93 » Mon Sep 18, 2017 11:52 am

THE NOTES & STUDY MATERIAL IN THIS POST ARE LOCKED FOR NEW USERS UNTIL YOU MAKE YOUR FIRST POST
Notebro works because our users upload content before getting full access to other student's posts.
The platform is designed so new users are unable to view content until they make a contribution to the community.
You must register or login (Top of page) and contribute at least one useful post (Post Notes button on your schools page).
Try to post quality notes from any class you have good study material for.
Fake, junk, or blank files do not get approved.


Attachments
Answers12.jpg
Answers11.jpg
Answers10.jpg
Answers9.jpg
Answers8.jpg
Answers7.jpg
Answers6.jpg
Answers5.jpg
Answers4.jpg
Answers3.jpg
Answers2.jpg
Answers1.jpg
2010  April final2.jpg
2010  April final.jpg
Habs93
 
Posts: 2
Joined: Mon Sep 18, 2017 11:39 am

Return to Concordia University