NoteBro.com
Course Notes & Past Exams

Concordia University

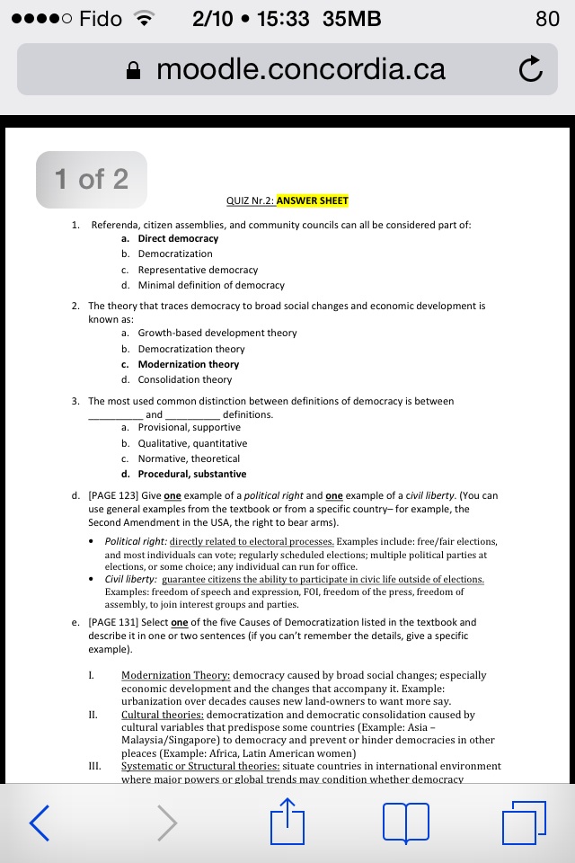
poli 203 quizz 2 answers

poli 203 quizz 2 answers

Postby youngvladd » Wed Feb 10, 2016 4:45 pm

THE NOTES & STUDY MATERIAL IN THIS POST ARE LOCKED FOR NEW USERS UNTIL YOU MAKE YOUR FIRST POST
Notebro works because our users upload content before getting full access to other student's posts.
The platform is designed so new users are unable to view content until they make a contribution to the community.
You must register or login (Top of page) and contribute at least one useful post (Post Notes button on your schools page).
Try to post quality notes from any class you have good study material for.
Fake, junk, or blank files do not get approved.


Attachments
image.jpg
youngvladd
 
Posts: 4
Joined: Wed Feb 10, 2016 4:18 pm

Return to Concordia University



cron