NoteBro.com
Course Notes & Past Exams

uOttawa - University of Ottawa

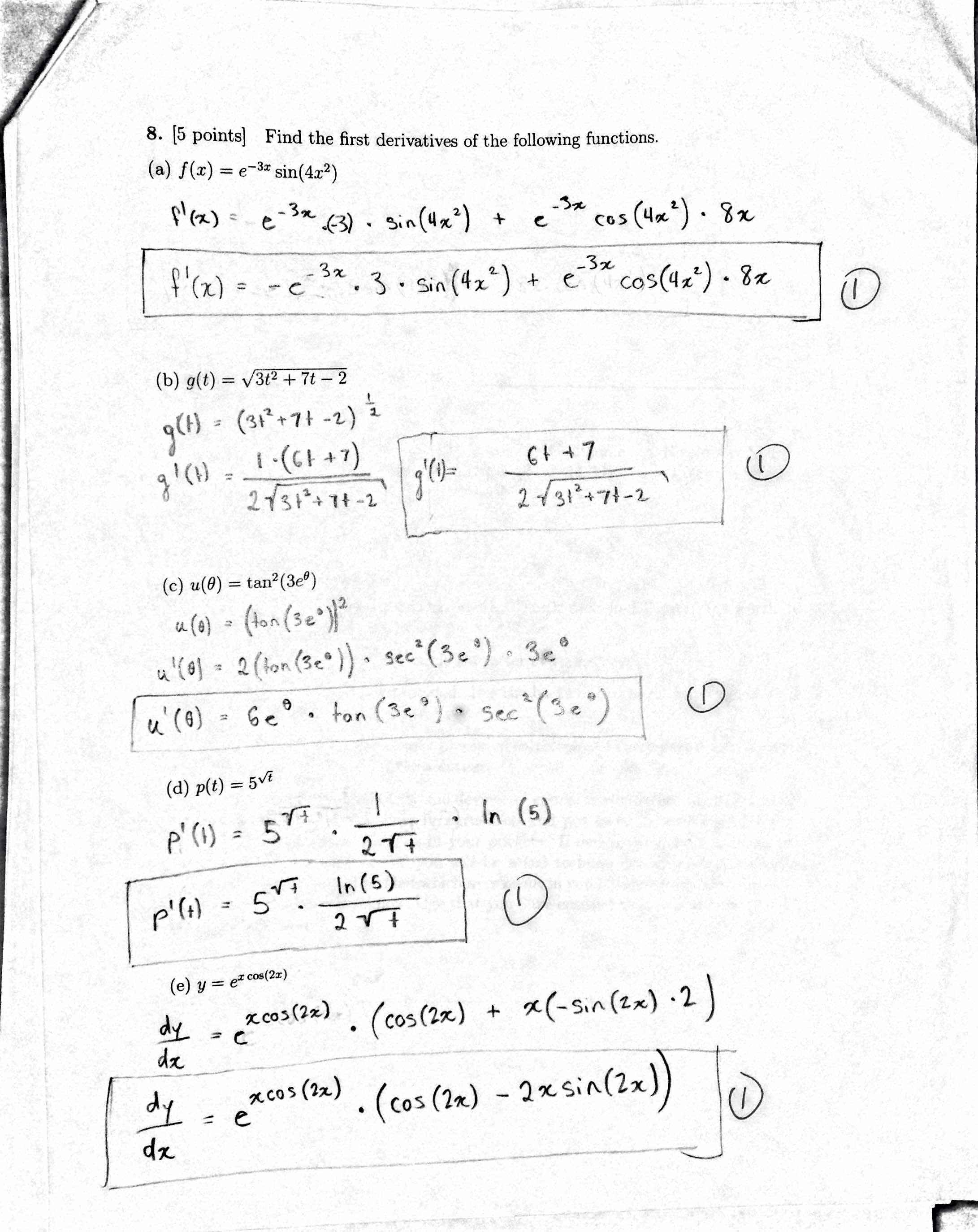
MIDTERM #1,MAT1320, 2016, Semester 1, Mike Newman

MIDTERM #1,MAT1320, 2016, Semester 1, Mike Newman

Postby vikiyz » Wed Nov 23, 2016 1:32 pm

THE NOTES & STUDY MATERIAL IN THIS POST ARE LOCKED FOR NEW USERS UNTIL YOU MAKE YOUR FIRST POST
Notebro works because our users upload content before getting full access to other student's posts.
The platform is designed so new users are unable to view content until they make a contribution to the community.
You must register or login (Top of page) and contribute at least one useful post (Post Notes button on your schools page).
Try to post quality notes from any class you have good study material for.
Fake, junk, or blank files do not get approved.


Attachments
IMG_4639.JPG
IMG_4638.JPG
IMG_4637.JPG
IMG_4636.JPG
vikiyz
 
Posts: 2
Joined: Sat Oct 15, 2016 6:01 pm

Return to uOttawa - University of Ottawa