NoteBro.com
Course Notes & Past Exams

uOttawa - University of Ottawa

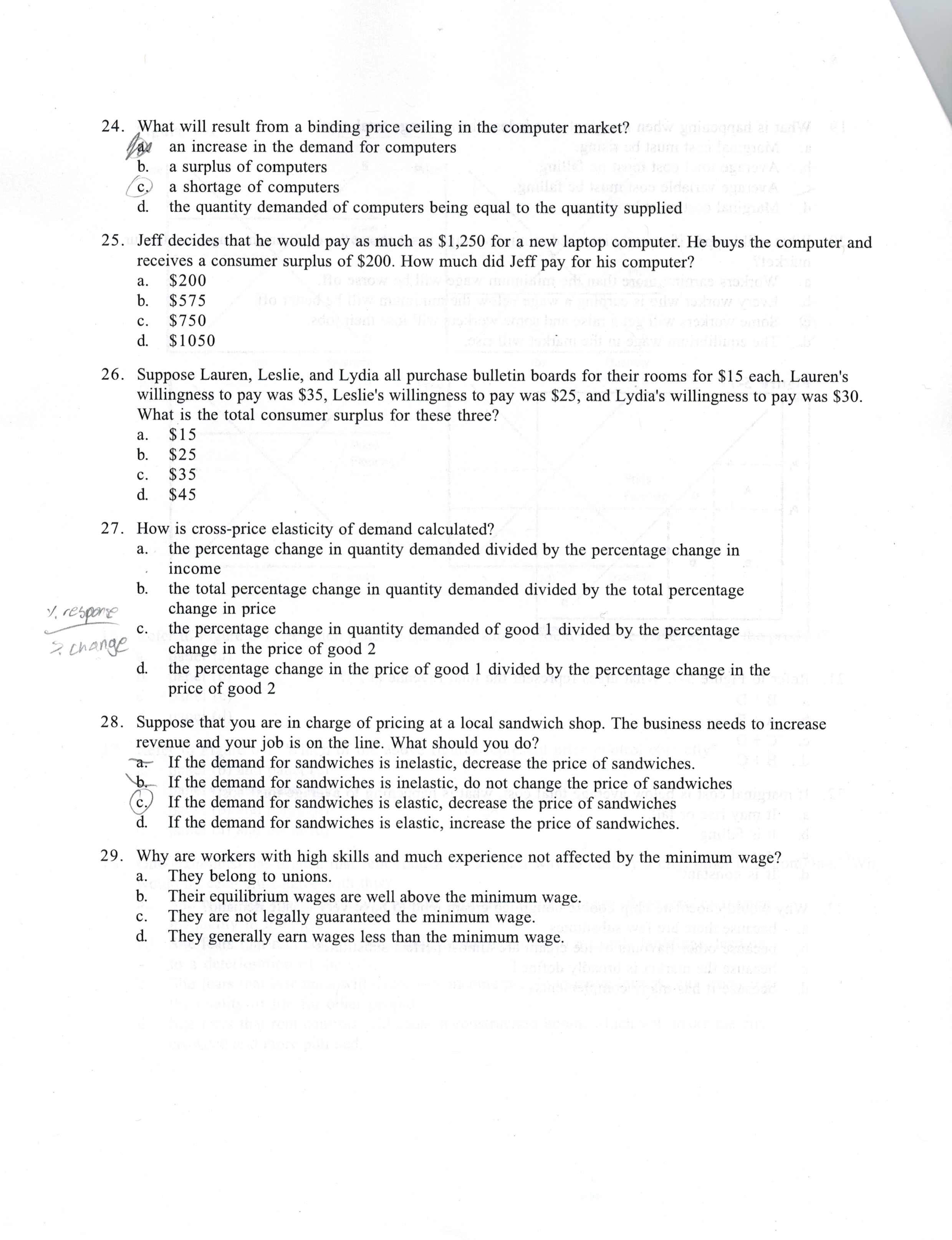
ECO 1104 Lawrence Harris 2015 Midterm 2 (SA+MC)

ECO 1104 Lawrence Harris 2015 Midterm 2 (SA+MC)

Postby Dom » Sat Apr 18, 2015 7:16 pm

THE NOTES & STUDY MATERIAL IN THIS POST ARE LOCKED FOR NEW USERS UNTIL YOU MAKE YOUR FIRST POST
Notebro works because our users upload content before getting full access to other student's posts.
The platform is designed so new users are unable to view content until they make a contribution to the community.
You must register or login (Top of page) and contribute at least one useful post (Post Notes button on your schools page).
Try to post quality notes from any class you have good study material for.
Fake, junk, or blank files do not get approved.


Attachments
MT2_P15.png
MT2_P14.png
MT2_P13.png
MT2_P12.png
MT2_P11.png
MT2_P10.png
MT2_P9.png
MT2_P8.png
MT2_P7.png
MT2_P6.png
MT2_P5.png
MT2_P4.png
MT2_P3.png
MT2_P2.png
MT2_P1.png
MT2_P0.png
All short answers are correct, but I do not have the answers for the multiple choice section.
Dom
 
Posts: 8
Joined: Sat Apr 18, 2015 6:24 pm

Return to uOttawa - University of Ottawa