NoteBro.com
Course Notes & Past Exams

University of Waterloo

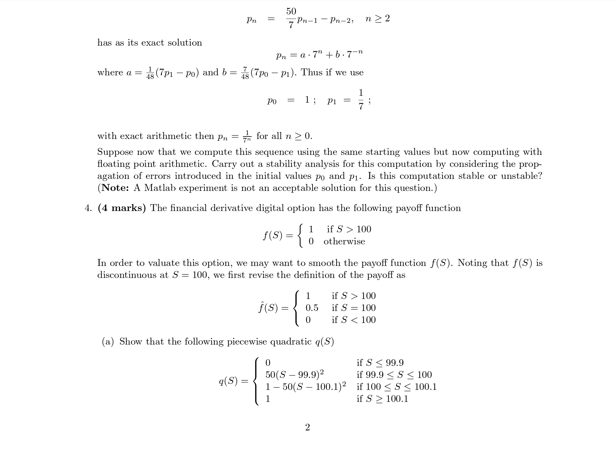
CS 370 Assignment 1 Winter 2013

CS 370 Assignment 1 Winter 2013

Postby KofSpades » Mon Feb 04, 2019 4:13 pm

THE NOTES & STUDY MATERIAL IN THIS POST ARE LOCKED FOR NEW USERS UNTIL YOU MAKE YOUR FIRST POST
Notebro works because our users upload content before getting full access to other student's posts.
The platform is designed so new users are unable to view content until they make a contribution to the community.
You must register or login (Top of page) and contribute at least one useful post (Post Notes button on your schools page).
Try to post quality notes from any class you have good study material for.
Fake, junk, or blank files do not get approved.


Attachments
06C2098E-F512-4CB0-9B75-C8CE312BE0EA.png
09ED021D-1D31-4A20-BDE6-BD4EF6651FEC.png
1C37E1FC-C422-4923-90BA-A25F7E87BEFA.png
FF13BF82-B0C2-4A94-8526-7F9DFA66F613.png
51F9DE75-0B92-4E2D-A2F5-C380F8AC5F99.png
197B2507-2525-4F4A-8DB1-C133C1839029.png
KofSpades
 
Posts: 1
Joined: Mon Feb 04, 2019 3:59 pm

Return to University of Waterloo